树
约 1118 个字 39 行代码 2 张图片 预计阅读时间 4 分钟
1. Huffman树
1.1 树的带权路径长度
对于有 \(n\) 个带权叶结点的二叉树,从根结点到各叶结点的路径长度与相应叶节点权值的乘积之和称为 树的带权路径长度(Weighted Path Length of Tree,WPL).
1.2 Huffman算法
根据排序不等式,想要让 \(WPL\) 的值最小,肯定是让权越大的结点放在深度越低的地方更好。但是由于带权的是叶结点,一旦放了该结点相当于把这部分分支堵住了,会减少深度较低的结点数量,反而可能导致 \(WPL\) 的值升高.
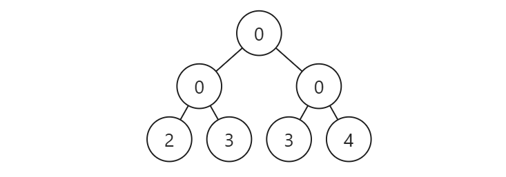
例
不妨设四个叶结点权值分别为 \(2,3,3,4\).

此时 \(WPL = 2\times(2 + 3 + 3 + 4) = 24\)

此时 \(WPL = 4 + 2\times 3 + 3\times 3 + 3\times 2 = 25\)
上述例子证明:自顶向下 的贪心行不通.因为我们无法预知树的整体形态,提前让大权节点占据浅层位置,会导致大量低权节点被迫推向极深处,从而拉高整体的 \(WPL\)。
自顶向下的贪心行不通,那如果是 自底向上 呢?最直接的想法就是把权值最低的两个结点放在树底作为最深的结点,来尝试证明一下.
证明:权值最低的点一定在最深处
采用反证法:假设有一棵最优的树(WPL最小),最深处放的不是权值最小点,而权值最小点被放在了较浅的地方.假设权值最小点为 \(a\),其深度为 \(l_a\),权值为 \(w_a\);最深处的点深度为 \(l_c\),其权值为 \(w_c\).
由假设可知:\(l_a<l_c,w_a<w_c\);那么将这两个结点位置交换后,得到
交换后 WPL 变小,与原假设矛盾.因此权值最小的节点不可能比权值更大的节点浅。
证明:最深层的叶子节点必然有兄弟
采用反证法:假设有一棵最优的树(WPL最小),最深层的叶子结点无兄弟(即父结点只有一个孩子),由于其父结点不是叶结点,因此父结点是无权值,可删去的;用最深的叶子结点代替父结点,由于叶结点深度减少 \(1\),WPL必然变小,与原假设矛盾.因此最深层的叶子节点必然有兄弟.
证明:权值最小的两个结点可以互为兄弟
由于最深层至少有两个叶结点,且权值低的结点更深,那么最深层放的肯定是权值最低的几个结点.对于权值最小的两个结点 \(a, b\),他们肯定在同一层.假设 \(a,b\) 不互为兄弟,由上一结论可知他们都各自有兄弟,不妨设 \(a,c\) 为兄弟,\(b,d\) 为兄弟;将 \(b,c\) 位置对调后由于深度 \(L\) 不变,WPL也不变.此时仍然是一棵最优树,因此权值最小的两个结点可以互为兄弟.
接下来我们证明可以将这两个结点合并,将其和作为父结点的值.
证明:将权值最小的两个结点合并成父结点不影响结果
不妨权值最小的两个结点 \(a,b\) 为兄弟,深度为 \(L\),他们的父结点为 \(c\).将 \(c\) 的权值记作 \(w_c=w_a+w_b\),则合并后从根节点到 \(c\) 的加权长度为 \(w_c\times (L-1)\);而原来的加权长度为 \((w_a+w_b)\times L\),他们的差值为定值 \(w_a+w_b\).因此原问题最优解等价于将结点 \(a,b\) 换成 \(c\) 后的最优解加上 \(w_a\) 与 \(w_b\).
我们将结点 \(a,b\) 换成权值为他们和的结点 \(c\).此时含有 \(n\) 个结点的问题被简化为含有 \(n-1\) 个结点的子问题.我们对这个子问题继续重复如上步骤:选出最小权值的两点合并成一点变为 \(n-2\) 个结点的子问题.直到集合中只剩下一个结点为止,该结点即为最优树的根节点.把合并的操作反向,把根节点逐渐拆回去,得到一棵最优树,该树即为 Huffman 树.
代码
struct TreeNode {
int val;
TreeNode *left;
TreeNode *right;
TreeNode(int x) : val(x), left(nullptr), right(nullptr) {}
};
struct CompareNode {
bool operator()(TreeNode* a, TreeNode* b) const{
return a->val > b->val;
}
};
TreeNode* buildHuffmanTree(const std::vector<int>& weights) {
struct Cmp {
bool operator()(TreeNode* a, TreeNode* b) const {
return a->val > b->val;
}
};
std::priority_queue<TreeNode*, std::vector<TreeNode*>, Cmp> pq;
for (int w : weights)
pq.push(new TreeNode(w));
while (pq.size() > 1) {
auto left = pq.top(); pq.pop();
auto right = pq.top(); pq.pop();
auto parent = new TreeNode(left->val + right->val);
parent->left = left;
parent->right = right;
pq.push(parent);
}
return pq.top();
}